DOI: https://dx.doi.org/10.12795/rea.2023.i46.04

Formato de cita / Citation: Ceballos-González, M., & Torres-Chacón, J.A. (2023). Analysis of electricity consumption in Andalusia during the year 2020. Revista de Estudios Andaluces,(46), 68-101. https://dx.doi.org/10.12795/rea.2023.i46.04

Correspondencia autores: mceballos@uloyola.es (Manuel Ceballos-González)

CC BY-NC-ND 4.0

Análisis del consumo eléctrico en Andalucía durante el año 2020

Analysis of electricity consumption in Andalusia during the year 2020

Manuel Ceballos-González

mceballos@uloyola.es 0000-0003-0913-6417

Javier Antonio Torres-Chacón

jtorreschacon@al.uloyola.es 0000-0001-7160-5849

Universidad Loyola Andalucía.

Avenida de las Universidades, s/n. 41704 Dos Hermanas, Sevilla, España.

INFO ARTÍCULO

RESUMEN

Recibido: 29-11-2022

Revisado: 22-12-2022

Aceptado: 28-03-2023

PALABRAS CLAVE

Análisis estadístico

Consumo eléctrico

Andalucía

El objetivo del presente artículo es la realización de un estudio del consumo de energía eléctrica en todos los municipios de la Comunidad Autónoma de Andalucía que tienen a Endesa Distribución Eléctrica como suministradora durante el año 2020. Para ello, se ha hecho uso del programa Stata y la base de datos de la plataforma del Sistema de Información Multiterritorial de Andalucía (SIMA). Los resultados obtenidos permiten concluir que en Andalucía existen diferencias estadísticamente significativas con respecto al consumo tanto a nivel municipal como provincial. Esto da lugar a la presencia de datos atípicos y que la variable objeto de estudio no se ajuste a una distribución normal. También se ha concluido que existe una correlación fuerte con otras cinco variables de la plataforma SIMA.

KEYWORDS

ABSTRACT

Statistical study

Electricity consumption

Andalusia

The main goal of this paper is to develop a statistical study about the electricity consumption in every city and town of Andalusia which has Endesa Distribución Eléctrica as supplier during the year 2020. In order to do so, we will use Stata software and the database of the Mutiterritorial Information System of Andalusia. The results obtained allow us to conclude that there exist significant differences in Andalusia with respect to the average electricity consumption per capita locally and globally. This yields to the existence of atypical data and that our variable does not fit to a normal behavior. We have also concluded that there exists a strong correlation with other five variables from the database.

1. INTRODUCCIÓN

La energía eléctrica es una de las formas de energía más importante. Durante los últimos años, ha habido una disminución del consumo eléctrico, más concretamente desde el año 2020 y tras la COVID-19 (Agencia Andaluza de la Energía, 2020). Anteriormente, ha habido períodos de subida y de bajada y desde hace ya varios años, se persigue un mayor grado de autonomía energética (Pita & Orozco, 2012). Debido al actual problema del gas y la guerra en Europa del este, el precio de energía eléctrica se ha visto disparado. En el caso concreto de Andalucía, a nivel energético cuenta con un marco muy estable en cuanto a regulación y planificación. Se caracteriza por objetivos orientados hacia el crecimiento de las energías renovables y la eficiencia energética. La situación geográfica y orográfica de Andalucía hace que disponga de un elevado recurso de fuentes renovables. De hecho, es la región española con mayor potencial solar (Instituto Nacional de Estadística, 2021). Sin embargo, a nivel nacional hay una gran dependencia energética (Fundación Disenso, 2021). Esta dependencia dificulta un suministro continuo y económicamente asequible. Existe también una gran inestabilidad en los precios de abastecimiento del exterior y del suministro interior generándose grandes desequilibrios (González & Álvarez-Alonso, 2020). De ahí la importancia de un análisis del consumo de energía eléctrica en esta comunidad autónoma.

En este artículo se pretende analizar a través de un estudio estadístico el consumo de energía eléctrica en todos los municipios de Andalucía que tienen a Endesa Distribución Eléctrica como suministradora durante el año 2020, que es el último año del cual tenemos registro de datos. Para ello, se hará uso del software Stata y de una base de datos recogida en la plataforma del Sistema de Información Multiterritorial de Andalucía (SIMA) de la web del Instituto de Estadística y Cartografía de dicha comunidad. El programa Stata es un gran software estadístico cuya primera versión es del año 1985. Nació como un lenguaje de programación para la realización de análisis estadísticos y ha ido evolucionando con el paso de los años. Permite a los usuarios analizar, administrar y generar visualizaciones gráficas de los datos. Stata, como el resto de software estadísticos, combina la operativa de dos tipologías de software: la base de datos y la hoja de cálculo, adaptándolas para la realización operaciones estadísticas (Universidad Loyola, 2021). El Instituto de Estadística y Cartografía de Andalucía tiene entre sus objetivos la promoción y coordinación de la estadística y cartografía en Andalucía. Está formado por varios organismos como la Comisión Andaluza de Estadística y Cartografía y la Comisión Técnica de Estadística (Álvaro et al., 2013).

El principal objetivo del presente artículo es el análisis estadístico de la variable consumo medio per cápita (o por habitante) en todos los municipios de Andalucía que tienen a Endesa Distribución Eléctrica como suministradora durante el año 2020 incluyendo estadísticos descriptivos, diagramas y estudio de los datos atípicos y extremadamente atípicos. Un segundo objetivo es el estudio del consumo de energía eléctrica andaluz por sectores profesionales. El tercer objetivo es la clasificación del tipo de consumo (bajo, medio-bajo, medio-alto o alto) en cada municipio mediante un criterio basado en los cuartiles para poder representar mediante mapas la tipología de consumo en cada provincia. El cuarto sería un análisis comparativo de medias de consumo provincial estableciendo aquellas parejas de provincias entre las que existen diferencias estadísticamente significativas. El quinto corresponde al estudio de si los datos de consumo eléctrico por habitante se ajustan a una distribución normal. Esto permitiría utilizar los parámetros de dicha distribución para inferir la probabilidad de que se obtenga un determinado valor de consumo y los mayores o menores que él. Como sexto y último objetivo tenemos el desarrollo de un análisis bivariante con el resto de las variables de la base de datos de SIMA. Tras el último apartado, en el Anexo, puede verse un listado completo de todas las variables de la plataforma SIMA.

La estructura general de este artículo es la siguiente: tras esta breve introducción, el segundo apartado tratará sobre el estado de la cuestión referente al consumo energético en Andalucía. En el tercero se muestra la metodología utilizada para la realización del presente artículo. A continuación, en el cuarto apartado se abordan los resultados a través de un estudio estadístico sobre la variable consumo per cápita con un sumario de estadísticos descriptivos y varios diagramas de representación: histograma, tallo-hojas y cajas-patas. A continuación, se estudia el consumo de energía eléctrica en Andalucía por sectores profesionales. Después, se analiza el tipo de consumo en cada provincia andaluza mediante una clasificación basada en los cuartiles. Además, se estudian los datos atípicos y extremadamente atípicos a nivel autonómico y provincial. Para continuar, se realiza un test de hipótesis comparando las medias provinciales para estudiar si existen diferencias estadísticamente significativas entre ellas, un test de normalidad y un análisis bivariante con el resto de variables de la base de datos SIMA. El quinto apartado se expone una discusión sobre los resultados obtenidos. Por último, un apartado de conclusiones generales del trabajo, la bibliografía y el Anexo.

2. ESTADO DE LA CUESTIÓN

La energía constituye uno de los recursos más importantes. En la actualidad, el aumento creciente de los consumos origina la búsqueda de un mayor grado de autonomía energética. Este aumento de los consumos se puede asociar al crecimiento económico y a la mejora del nivel de vida (Pita & Orozco, 2012). El consumo energético solía ser un buen indicador para expresar el grado de desarrollo de las distintas sociedades (Coq, 2003), aunque actualmente también se tiene en cuenta el PIB.

Sin embargo, a nivel nacional hay una gran dependencia energética. Ésta se define como la proporción de energía primaria que un país importa para poder abastecerse, ya sea destinada a calor, transporte o electricidad. Esta dependencia del exterior incide en la dificultad para garantizar un suministro continuo y económicamente asequible, lo cual genera también tensiones geopolíticas. Existe también una gran inestabilidad en los precios de abastecimiento del exterior y del suministro interior generándose grandes desequilibrios en la balanza comercial y en la competitividad industrial y produciéndose de esta forma en un mayor desempleo (González & Álvarez-Alonso, 2020).

Según los datos aportados por el INE, la dependencia de España de la energía exterior durante el año 2020 se sitúa en 67,8%. Anteriormente, ha estado siempre por encima del 70% debido a que, en nuestro país, apenas se produce un tercio de la energía final que consumimos. El consumo y el precio ha crecido mucho en los últimos años y se ha conseguido únicamente el beneficio de los proveedores internacionales y empresas energéticas, alguna de ellas antes propiedad del estado y que ahora forman parte de grupos extranjeros. Este problema no sólo afecta a España, sino que es común a todos los países europeos (Empresa Provincial de Energía de Córdoba, 2022) como podemos ver en la tabla 1. En dicha tabla puede observarse cómo el grado de dependencia en España se ha reducido un 9% desde el año 2000. Esto es debido a la apuesta por las energías renovables. Destaca también la disminución de un 7,2% del año 2019 al 2020 por la influencia de la COVID19.

Tabla 1. Grado de dependencia energética en algunos países europeos.

País \ Año

2000

2010

2018

2019

2020

Malta

100,2

99,0

97,5

97,2

97,5

Luxemburgo

99,6

97,0

95,2

95,1

92,4

Chipre

98,6

100,6

92,5

92,8

93

Italia

86,5

82,6

76,3

77,5

73,4

Bélgica

78,2

77,5

82,3

76,7

78

Lituania

57,8

79,0

73,9

75,2

74,9

España

76,8

77,1

73,5

75,0

67,8

Grecia

69,1

68,6

70,7

74,1

81,4

Portugal

85,3

72,5

75,6

73,8

65,2

Alemania

59,4

60,0

63,4

67,6

63,7

Países bajos

38,3

28,3

59,5

64,7

68

Francia

51,2

48,7

46,8

47,6

44,4

Polonia

10,7

31,6

44,8

46,8

42,7

Letonia

61,0

45,5

44,3

44,0

45,4

Finlandia

55,5

48,9

44,9

42,1

42

Rumania

21,9

21,4

24,3

30,4

28,2

Suecia

39,3

38,0

29,1

30,2

33,5

Fuente: elaboración propia a partir de datos de Fundación Disenso, 2021.

Es cierto que el país cuenta con escasos recursos petrolíferos, de gas y carbón, pero en este caso es necesario una búsqueda de diversificación de fuentes de suministro y un marco estratégico y regulador que favorezca la inversión e innovación en otras fuentes. En los últimos años se ha aumentado la capacidad de generación eléctrica renovable tanto eólica como solar, pero las fuentes renovables desgraciadamente no son suficientes para abastecer la demanda de forma competitiva.

En el caso de Andalucía (Agencia andaluza de la Energía, 2020), su escenario energético ha cambiado bastante en los últimos años. Se está evolucionando de un sistema de generación centralizado y basado en energías fósiles hacia un sistema más eficiente de generación distribuida, que aprovecha en mayor medida los recursos renovables y disminuye nuestra dependencia energética del exterior.

Andalucía tuvo un consumo de energía primaria de 16.238,6 ktep en 2020 (14,9% del total de España), con un consumo per cápita de 1,9 tep/hab. Para satisfacer esta demanda Andalucía dispone de un elevado potencial de recursos energéticos renovables distribuido por el territorio andaluz, que aporta el 22,1% de la energía total y el 44,6% de la energía eléctrica consumida. El 6,7% del consumo del sector transporte, se realiza en forma de biocarburantes. El consumo de energía final en 2020 fue de 11.774,6 ktep. El sector transporte es el que presenta un consumo más elevado (34,4%), le sigue la industria con un 32,4%. Los sectores residencial, servicios y primario consumen el 33,2% del total.

Con un modelo de abastecimiento energético estrechamente ligado a los combustibles fósiles, principalmente a los derivados de petróleo que cubren el 42,9% de la demanda energética total andaluza, presenta una elevada dependencia energética del exterior, con unas importaciones que suponen el 78,2% del consumo. Este dato es notablemente inferior al 90% de dependencia que registraba la comunidad en el año 2000.

La electricidad es una de las formas de energía de mayor uso. En 2020, el consumo de energía eléctrica en Andalucía supuso el 24,7% (Agencia andaluza de la Energía, 2020). Por tanto, su coste agrava la economía de la sociedad afectando a sectores como la industria, servicios y particulares. De hecho, existe una relación directa entre la economía de una sociedad y el precio de la energía eléctrica (Bueno et al., 2020). Además, la electricidad como sabemos tiene un gran inconveniente: no se puede conseguir su almacenamiento en cantidades significativas, lo que supone generarla y transportarla al momento de ser usada.

Debido al actual problema del gas, la guerra en Europa del este y el elevado precio de la energía producido por el déficit tarifario, el precio de energía eléctrica se ha visto disparado. De ahí que este precio se haya visto aumentado en un 40% durante el año 2022. Como consecuencia, creemos que es de gran importancia el desarrollo de este artículo en el que analizamos los datos de medias de consumo de los habitantes de cada municipio para ser conscientes del actual consumo en cada uno de ellos y que puedan tomarse medidas al respecto (Hilbert & López, 2011).

La comunidad autónoma de Andalucía alcanzó el 1 de enero de 2020, según el INE, la cifra de 8.460.261 habitantes. Estos habitantes estaban distribuidos en 748 municipios. Con una extensión de 87.599 km2, Andalucía es una de las comunidades autónomas más extensas de España. Su PIB es de 150.557 M€, lo que la define como la tercera economía de España. En cuanto al PIB per cápita, en Andalucía en 2020 fue de 17.747 €, frente a los 25.460 € del PIB per cápita nacional (INE, 2021).

A lo largo de los años la forma de obtener energía en Andalucía ha variado mucho. En 2005 por ejemplo, era principalmente mediante derivados del petróleo existiendo un escaso uso de las energías renovables. A partir del año 2012 comienza a descender notablemente el uso de los derivados del petróleo como forma de obtención de energía dando paso a otros métodos como las energías renovables (Iberdrola, 2022). Actualmente, los derivados del petróleo representan un 51,5%, la electricidad un 24,7%, el gas natural un 16,5% y las fuentes renovables poco más del 7% (Agencia andaluza de la Energía, 2020).

El sistema eléctrico de Andalucía posee una estructura adaptada a las necesidades de dicha región. Gracias a su desarrollo, mejora tanto la economía como la calidad de vida de los andaluces. La comunidad andaluza a nivel energético cuenta con un marco muy estable en cuanto a regulación y planificación. Se caracteriza por objetivos orientados hacia el crecimiento de las energías renovables y la eficiencia energética. Así como por el desarrollo de las redes eléctricas y de gas.

La situación geográfica y orográfica de Andalucía, hace que disponga de un elevado recurso de fuentes renovables. Así pues, disponemos de una radiación solar media de 5 kWh/m2 día, lo que hace de Andalucía la región española con mayor potencial solar. La depresión del Guadalquivir y el litoral, son las áreas que cuentan con una mayor radiación solar (INE, 2021).

Con respecto a estudios del consumo eléctrico en Andalucía, debemos citar el Capítulo 2 de (Pita & Pedregal, 2011), donde los autores llevan a cabo un estudio del consumo de energía eléctrica centrándose en el año 2007 y analizando la evolución de dicho consumo durante el período 2002-2007.

3. METODOLOGÍA

En este apartado se expone la metodología utilizada para el presente artículo. Primeramente, se analiza la fuente de datos utilizada y su tratamiento. Por último, se comenta los métodos, técnicas y procedimientos aplicados.

3.1. Fuentes y tratamiento de los datos

Para llevar a cabo el análisis, se ha hecho uso de los datos proporcionados por la plataforma SIMA, que se encuentran recogido en la web del Instituto de Estadística y Cartografía de Andalucía. Los datos recogidos en dicha plataforma son muy diversos y analizan características de cada municipio andaluz como pueden ser el entorno físico, medioambiental, demografía, población, sociedad, economía, etc (ver Anexo para listado completo de variables). Entre todos ellos, se encuentran los datos proporcionados por Endesa Distribución Eléctrica de consumo de energía eléctrica por municipio en el año 2020. En este punto hay que tener en cuenta que Endesa no es la única compañía distribuidora en la comunidad debido a la liberalización del mercado eléctrico con la ley del 97. Sin embargo, sí que es cierto que, de las 71 empresas distribuidoras que hay, Endesa atiende al 94% de los clientes y el 96% del consumo en la región actualmente (E.R., 2021). Con respecto a los datos a analizar del año 2020, comentar que, de los 785 municipios que hay en Andalucía, 720 de ellos tienen contratado Endesa Distribución Eléctrica. Por tanto, nuestro análisis se hará para esos 720 municipios. Añadir que en SIMA también se encuentran los datos de consumo de energía eléctrica por sectores profesionales que se usarán en el apartado 4.2.

Los datos de SIMA fueron exportados a una hoja de cálculo Excel para su futura importación al programa Stata, que es el software estadístico que se ha utilizado para tratar con los datos y llevar a cabo el análisis del consumo en cada municipio de Andalucía.

El programa Stata ha tenido tres grandes precursores: BMDP (Biomedical Program), el SAS (Statistical Analysis System) y el SPSS (Statistical Progrms for the Social Sciences). Tres son también las características más destacadas que han logrado que Stata sea una de las aplicaciones más destacadas en estadística. En primer lugar, el empleo de instrucciones con un fácil lenguaje de modo interactivo. Stata ofrece un modelo en el que se escribe una función e inmediatamente se ven los resultados. Este software no solo puede empaquetar todas las instrucciones en un fichero, sino que también es posible para un técnico experto la elaboración de nuevas utilidades diferentes a las ya implementadas (Universidad Loyola, 2021).

3.2. Métodos, técnicas y procedimientos

Una vez que los datos fueron descargados de SIMA y exportados a formato Excel, se importaron al editor de variables del programa Stata. A continuación, se han seguido los pasos que se pueden encontrar en (Universidad Loyola, 2021) para realizar el análisis estadístico y obtener todos los resultados que se presentan en el cuarto apartado. Se han calculado los estadísticos descriptivos más importantes como son la media, varianza, rango, desviación típica y cuartiles. Además, se han obtenido diversas representaciones gráficas: histograma, diagrama de cajas y patas y el diagrama de tallos y hojas. Todo esto se muestra en el apartado 4.1, del presente artículo.

A continuación, en el apartado 4.2, se desarrolla un estudio del consumo de energía eléctrica en cada provincia de Andalucía por sectores profesionales. En SIMA se distinguen seis sectores: agricultura, industria, comercio-servicios, residencial, administración-servicios públicos y el resto. Se realizarán diagramas sectoriales con la distribución en porcentajes del consumo por sectores en cada provincia andaluza.

Después, en el apartado 4.3, se lleva a cabo una clasificación de la tipología de consumo en cada municipio dependiendo de los valores de los cuartiles a nivel autonómico. Así, un municipio tiene un consumo Bajo si éste se encuentra por debajo del 25% (valores menores que Q1). Un municipio tendrá un consumo Medio-Bajo si se encuentra entre el 25 y 50% (valores mayores que Q1, pero menores Q2). Análogamente el consumo será Medio-Alto o Alto si éste se sitúa entre el 50 y 75% (valores mayores que Q2 pero menores que Q3) o bien está por encima del 75 % (valores mayores que Q3), respectivamente. Notemos que al estar utilizando los cuartiles a nivel autonómico se garantiza que el umbral para cada tipo de consumo es el mismo para todas las provincias andaluzas. Por último, a partir del valor de los cuartiles, se obtuvo el valor del rango intercuartílico: RIC = Q3 – Q1.

Esto se utiliza en el apartado 4.4 para estudiar aquellas observaciones cuyos valores difieren del resto de los datos. Así, los datos atípicos vienen determinados por aquellas observaciones que quedan por debajo de Q1- 1,5 x RIC o bien por encima de Q3 + 1,5 x RIC. Los datos extremadamente atípicos están formados por aquellos valores que se encuentran por debajo de Q1- 3 x RIC o bien por encima de Q3 + 3 x RIC. Además de obtener estos valores, se estudió cómo se distribuyen entre las distintas provincias.

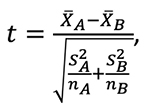
En el apartado 4.5, se aborda un estudio de comparación de medias provinciales. Para ello se ha usado la media, desviación típica y el número de municipios de cada provincia y se ha aplicado el test de la distribución T de Student para comparar medias y ver si existen diferencias estadísticamente significativas entre las provincias. Este test considera dos provincias A y B y realiza el contraste de hipótesis

H 0 A = μ B , H A : μ A ≠ M B

El estadístico para dicho contraste viene dado por , donde S 2, n representan la media,

desviación típica y número de municipios para cada provincia.

En el apartado 4.6 tiene como objetivo realizar dos test de normalidad (Kolmogorov-Smirnof y Shapiro-Wilk) para contrastar si la variable consumo medio per cápita se ajusta o no a una distribución normal. Estos test están basados en un contraste de hipótesis y se realizan mediante el programa Stata con los comandos Swilk y ksmirnov.

Por último, en el apartado 4.7 se lleva a cabo un análisis bivariante comparando el consumo per cápita con el resto de variables de la base de datos de la plataforma SIMA. Mediante Stata se ha generado un diagrama de dispersión y una tabla de correlación. En dicho apartado se muestran los resultados para las cinco variables con las que se ha obtenido una correlación fuerte.

4. RESULTADOS

4.1. Sumario de estadísticos y digramas

Se ha obtenido un sumario de estadísticos descriptivos para la variable consumo medio per cápita (tabla 2). Para ello, se han analizado 720 municipios andaluces, obteniendo una media de consumo de 4,079757 MW/h y una desviación típica de 8,281704. El mayor consumo obtenido es de 116,2293 MW/h. Este dato corresponde al municipio de El Granado (Huelva). Este valor tan elevado se debe a los fuertes consumos generados por la central hidroeléctrica y embalse del Chanza y al escaso volumen poblacional de dicho municipio.

Tabla 2. Sumario de estadísticos para la variable consumo de energía eléctrica por habitante (2020).

Variable

Obs

Mean

Std. dev.

Min

Max

consumoperc

720

4.079757

8.281704

.000272

116.2293

Fuente: elaboración propia con Stata a partir de los datos de SIMA.

Además, se ha obtenido el valor de los cuartiles para poder calcular el rango intercuartílico y usar dichos datos en el apartado 4.3. Los valores de los cuartiles obtenidos con Stata fueron los siguientes:

Q1= 2,173126, Q2= 2,808815 y Q3= 3,830576

A partir del valor de los cuartiles, se obtuvo el valor del rango intercuartílico:

RIC = Q3 – Q1= 1,65745

Después, se han obtenido las representaciones gráficas más importantes para la variable consumo medio per cápita. Estas son el histograma, el diagrama de tallos y hojas y el de cajas y patas. En dichos diagramas se ha considerado el consumo en kW por habitante. En el histograma (figura 1), se ve que los rangos obtenidos son muy amplios y que los valores están muy concentrados cerca del cero al haber considerado kW por habitante. En el diagrama de cajas y patas (figura 2), se observa la existencia de datos atípicos y extremadamente atípicos tal y como veremos en el apartado 4.4. También se aprecia que no existen datos atípicos por debajo de Q1- 1,5 x RIC. En el diagrama de tallos y hojas (figura 3), se representan todos los valores de la variable y se puede comprobar como la distribución es asimétrica y sesgada a la izquierda. Esto revela que los datos de la variable consumo de energía eléctrica per cápita no se ajustan a una distribución normal, lo cual será comprobado con los test de Kolmogorov-Smirnof y de Shapiro-Wilk, en el apartado 4.6.

Figura 1. Histograma para la variable consumo de energía eléctrica por habitante (2020). Fuente: elaboración propia con Stata a partir de los datos de SIMA.

Figura 2. Cajas y patas para la variable consumo de energía eléctrica por habitante (2020). Fuente: elaboración propia con Stata a partir de los datos de SIMA.

Figura 3. Tallo y hojas para la variable consumo de energía eléctrica por habitante (2020). Fuente: elaboración propia a partir de los datos obtenidos en SIMA.

4.2. Consumo por sectores

En la base de datos de SIMA viene recogido el consumo por sectores en cada municipio andaluz (SIMA, 2021). Se distinguen un total de seis sectores: agricultura, industria, comercio-servicios, residencial, administración-servicios públicos y el resto. En la figura 5 se muestra la distribución en porcentajes del consumo de energía eléctrica (MWh) por sectores referidos a cada provincia andaluza. En los diagramas sectoriales representados en dicha figura, puede verse que en las provincias de Huelva y Cádiz el sector que más destaca es la Industria, mientras que en el resto de provincias destaca el sector residencial. En el caso de Huelva y Cádiz, los municipios de mayor consumo de energía eléctrica en el sector industrial son Palos de la Frontera, San Roque y Los Barrios. Esto es debido a la presencia de importantes polígonos industriales como Nuevo Puerto, San Jorge, Campamento, Guadarranque, Guadacorte y Palmones. En cuanto al resto de provincias, es la propia capital de cada una de ellas la que destaca en el sector residencial.

4.3. Tipos de consumo

En este apartado se analiza el tipo de consumo de energía eléctrica de cada municipio tal y como se indicó en el tercer apartado. En la figura 4 se puede ver cómo se distribuye la variable consumo de energía eléctrica per cápita en cada una de las provincias andaluzas. Se observa que el 24 % del consumo eléctrico total andaluz suministrado por Endesa se da en Huelva, mientras que Cádiz y Málaga son las dos provincias que menos energía eléctrica consumen. Destaca también que las mayores tasas de consumo por habitante se obtienen en municipios con instalaciones industriales de elevada intensidad energética. Es el caso de municipios onubenses como Palos de la Frontera, que cuenta con importantes polígonos industriales como se comentó en el apartado 4.2, y El Granado, que cuenta con la central hidroeléctrica y presa del Chanza. Este último municipio ya se comentó en el apartado 4.1 pues es el de mayor consumo eléctrico por habitante de toda la comunidad autónoma. Además, dichos municipios cuentan con un escaso volumen poblacional. En el apartado 4.4 se hará un estudio de varios municipios en este sentido.

A continuación, en las figuras 6 y 7, se muestra un diagrama sectorial y un mapa para cada provincia, respectivamente, en orden alfabético con la distribución de la tipología de consumo: alto, medio-alto, medio-bajo o bajo. Se observa como el consumo de tipo alto es predominante en las provincias de Almería, Córdoba y Jaén, mientras que en Cádiz, Granada, Huelva y Sevilla el mayor porcentaje lo registra el consumo de tipo bajo. En la provincia de Málaga, sin embargo, destaca el consumo medio-alto. La figura 8 recoge la distribución de la tipología de consumo de energía eléctrica por habitante en toda Andalucía. Este mapa permite visualizar, comparar y localizar las zonas de mayor y menor consumo en la comunidad. Añadir que los mapas han sido generados mediante la herramienta del Atlas Interactivo Nacional de España y a partir de los datos de SIMA. En cada mapa provincial puede leerse en la leyenda inferior el número de municipios de dicha provincia para cada tipo de consumo.

Por último, en las secciones 4.3.1 a 4.3.8 se muestra un listado de municipios para cada provincia según el tipo de consumo. Además, se comentan aquellos casos más importantes de cada provincia.

Figura 4. Distribución del consumo eléctrico por habitante y provincia. Fuente: elaboración propia con Stata a partir de los datos de SIMA.

Figura 5. Distribución del consumo eléctrico por sectores en cada provincia de Andalucía. Fuente: elaboración propia con Stata a partir de los datos de SIMA.

Figura 6. Distribución de la tipología de consumo de energía eléctrica por habitante (MWh/hab) en cada provincia de Andalucía. Fuente: elaboración propia con Stata a partir de los datos de SIMA.

Figura 7. Tipos de consumo de energía eléctrica por habitante (MWh/hab) por municipios en cada provincia de Andalucía. Fuente: elaboración propia con Atlas Interactivo Nacional de España a partir de los datos de SIMA.

Figura 8. Tipos de consumo de energía eléctrica por habitante (MWh/hab) en Andalucía. Fuente: elaboración propia con Atlas Interactivo Nacional de España a partir de los datos de SIMA.

4.3.1. Almería

La provincia de Almería cuenta con un total de 101 municipios. Todos los rangos presentan datos similares, siendo predominante el consumo alto y medio-bajo. Los municipios de mayor consumo eléctrico por habitante son Cantoria y Carboneras. El primero debido, en gran parte, a la ampliación de la sede industrial de Cosentino. El segundo, por la actividad industrial de la producción energética derivada de su central térmica. Hay otro conjunto de municipios que se identifican con una agricultura intensiva que a su vez se traduce en un mayor consumo de energía eléctrica. Es el caso de municipios como El Ejido, Huércal de Almería o Viator. También están los municipios de Gádor y Purchena, en los que el consumo es alto debido a la industria cementera y del mármol, respectivamente. Por otra parte, los municipios de menor consumo se encuentran en su mayoría entre Los Filabres y la zona del Valle de Almanzora, donde hay muchos municipios de ámbito rural.

4.3.2. Cádiz

Cuenta con un total de 49 municipios y es una de las provincias que menos consumo eléctrico presenta en la comunidad autónoma. Predomina, por tanto, el consumo bajo. Esto se debe a la presencia de extensas zonas rurales y el cese de actividades industriales en muchas zonas. Por otra parte, es una provincia que registra algunos municipios de consumo alto debido a la alta demanda turística. Los municipios de Los Barrios y San Roque son los que mayor consumo de energía eléctrica por habitante muestran debido a que cuentan con importantes polígonos industriales. Otros municipios como Tarifa o Rota tienen un consumo alto por ser la zona de mayor potencialidad eólica en el caso del primero o bien por la presencia de la base militar en el segundo. Todo esto concuerda con lo que ya se vio en el apartado 4.2.

4.3.3. Córdoba

La provincia de Córdoba cuenta con 62 municipios. Se observa que los consumos alto y medio-alto son idénticos y los más predominantes. El municipio de Espiel es el que mayor consumo de energía eléctrica por habitante registra. Esto es debido, no solo a la presencia de la central térmica de Puente Nuevo, sino también a su escaso volumen poblacional. De ahí, que haya 14 municipios de Córdoba que registran mayor consumo de energía eléctrica que Espiel. Nos encontramos también con otro grupo de municipios de consumo alto o medio-alto situados en zonas próximas al Río Guadalquivir. Comentar también el caso de algunos municipios como Lucena que cuenta con una fuerte actividad económica y un alto consumo derivados de la presencia de polígonos industriales y el cultivo del olivo, trigo y vid. Por otra parte, hay municipios sobre todo en la mitad norte de la provincia con escasa actividad industrial y grandes zonas rurales donde el consumo eléctrico por habitante es bajo o medio-bajo.

4.3.4. Granada

Esta provincia destaca por ser la que mayor número de municipios tiene de toda la comunidad autónoma. Cuenta con un total de 160 municipios. El consumo Bajo es el más predominante al igual que pasaba en la provincia de Cádiz. Los municipios de menor consumo en Granada se localizan a lo largo de Sierra Morena, Sierras Béticas y Las Alpujarras. Otro conjunto de municipios de consumo bajo se localiza entre la zona de La Vega y Guadix. Por otra parte, el municipio de Zújar es el que mayor consumo per cápita registra debido a la presencia de centrales hidroeléctricas en la zona de su término municipal.

4.3.5. Huelva

En esta provincia de 73 municipios, se observa como predomina el consumo bajo, al igual que ocurría en las provincias de Cádiz y Granada. En estas tres provincias hay municipios de pequeño volumen demográfico y situados en áreas serranas, lo que puede relacionarse con la existencia de una población generalmente envejecida, bajo-consumidora y de una escasa actividad económica. En el caso concreto de Huelva, los municipios de menor consumo son los que se encuentran situados al sur de Sierra Morena y colindantes con Portugal. El resto de municipios de esta provincia que no tienen consumo bajo, presentan consumos muy similares. Los municipios de mayor consumo eléctrico por habitante son El Granado y Palos de la Frontera. Ambos casos ya han sido comentados en las Secciones 4.1 y 4.2.

4.3.6. Jaén

La provincia jienense con 96 municipios y el consumo alto es el predominante. El municipio de Mengíbar es el que mayor consumo eléctrico por habitante registra. Esto se debe a su escaso volumen poblacional y la presencia de polígonos industriales. Hay otros municipios de pequeño tamaño pero con una fuerte actividad económica como Bailén. En las zonas de la Sierra de Cazorla y de Segura se registran municipios de consumo medio-alto y medio-bajo. Es una provincia que apenas cuenta con municipios de consumo bajo, solo un 5% del total.

4.3.7. Málaga

La provincia de Málaga cuenta con 87 municipios. En esta provincia predomina el consumo medio-alto, seguido del consumo medio-bajo y consumo bajo. El municipio de Benahavís es el que mayor consumo de energía eléctrica por habitante registra debido a su escasa población, pero existen municipios con mayor consumo eléctrico como es el caso de Marbella o Mijas. En el mapa de esta provincia se observa que los municipios de mayor consumo por habitante se encuentran en las zonas del litoral y la depresión de Antequera, algunos de ellos por una fuerte actividad turística como Antequera, Marbella, Benalmádena, etc. Los de menor consumo están en la Sierra de las Nieves y la Sierra del Torcal, donde se localizan zonas rurales y montañosas con escasa actividad industrial.

4.3.8. Sevilla

Sevilla, con 104 municipios, es la provincia con tipología de consumo por habitante más homogénea en el sentido de que hay casi el mismo número de municipios de cada tipo. Aun así, sobresalen ligeramente los consumos de tipo alto y bajo. La mayoría de los municipios de consumo alto y medio-alto se encuentran en la cuenca del río Guadalquivir. El municipio de mayor consumo eléctrico por habitante corresponde a Gerena. Esto se debe a la presencia de la Mina Las Cruces y su baja población. Sin embargo, hay un municipio que registra un mayor consumo neto que es Alcalá de Guadaíra, debido a la fuerte presencia del sector industrial en dicho municipio.

4.4. Datos atípicos y extremadamente atípicos

En el diagrama de cajas y patas que se expuso en el apartado 4.1 se aprecia como existen datos atípicos y extremadamente atípicos en nuestra distribución. Además, de los valores de los cuartiles y el rango intercuartílico obtenidos en el apartado 4.1, se deduce que no existen datos atípicos (ni extremadamente atípicos) por debajo de Q1- 1,5 x RIC. De modo que todos los datos atípicos que son mencionados en este apartado se referirán a datos atípicos por encima de Q1+ 1,5 x RIC. En las figuras 9 y 10 se mostrará la distribución de datos atípicos y extremadamente atípicos por provincias. Se observa que la provincia que más datos atípicos contiene es Almería, mientras que Málaga y Cádiz son las que albergan menos datos de este tipo. Con respecto a los datos extremadamente atípicos, Almería y Huelva son las que tienen más municipios correspondientes a dichos datos. Destacar también el hecho de que Málaga es la única que no contiene ningún dato extremadamente atípico. La existencia de este tipo de datos se debe a que dichas provincias contienen municipios con un alto consumo o bien tienen poca población y hay grandes empresas adscritas a dichos municipios.

Figura 9. Distribución de los datos atípicos por provincias. Fuente: elaboración propia con Stata a partir de los datos de SIMA.

Figura 10. Distribución de los datos extremadamente atípicos por provincias. Fuente: elaboración propia con Stata a partir de los datos de SIMA.

Las tablas 3 y 4 muestran el listado de municipios correspondientes a estos datos atípicos y extremadamente atípicos por provincias. Además de los casos de municipios con alto consumo de energía eléctrica que fueron comentados en las secciones anteriores, en dichas tablas nos encontramos con municipios con escaso volumen poblacional y otros donde existen infraestructuras que justifican el alto consumo como puede ser la zona industrial de Deretil en Cuevas de Almanzora (Almería) o la industrial del mármol en Purchena (Almería).

Tabla 3. Municipios con consumo atípico por provincias.

Almería

Cádiz

Córdoba

Granada

Huelva

Jaén

Málaga

Sevilla

Alhabia

Los Barrios

Adadmuz

Albuñán

Calañas

Alcalá la Real

Archidona

Alcalá de Guadaira

Antas

Rota

El Carpio

Aldeire

El Campillo

Baeza

Benahavís

Gerena

Cantoria

San Roque

Espiel

La Calahorra

El Granado

Cárcheles

Fuente de Piedra

Huévar del Aljarafe

Carboneras

Palenciana

Fonelas

Jabugo

Espeluy

Lora de Estepa

Cuevas del Almanzora

Pedro Abad

Lújar

Minas de Riotinto

Guarromán

Peñaflor

El Ejido

Monachil

Niebla

Lupión

Roda de Andalucía

Enix

Píñar

Palos de la Frontera

Martos

Salteras

Gérgal

Purullena

San Silvestre de Guzmán

Mengíbar

Lucainena de las Torres

Zújar

Sanlúcar del Guadiana

Vilches

Purchena

Villanueva de los Castillejos

Villanueva de la Reina

Santa Fe de Mondújar

Tahal

Terque

Fuente: elaboración propia a partir de los datos de SIMA.

Tabla 4. Municipios con consumo extremadamente atípico por provincias.

Almería

Cádiz

Córdoba

Granada

Huelva

Jaén

Málaga

Sevilla

Cantoria

Los Barrios

El Carpio

Albuñán

Calañas

Mengíbar

Alcalá de Guadaira

Carboneras

San Roque

Espiel

Aldeire

El Granado

Gerena

Cuevas del Almanzora

Pedro Abad

La Calahorra

Jabugo

Huévar del Aljarafe

Enix

Fonelas

Minas de Riotinto

Purchena

Zújar

Niebla

Santa Fe de Mondújar

Palos de la Frontera

Tahal

Sanlucar de Guadiana

Fuente: elaboración propia a partir de los datos de SIMA

4.5. Comparación de medias

En este apartado se llevó a cabo una comparación de medias provinciales aplicando el test de la distribución T de Student. Este estudio se realiza para comparar el comportamiento de una variable en dos poblaciones independientes a través de su media aritmética. Se fundamenta en un contraste de hipótesis, donde la hipótesis nula es la igualdad de la media de ambos y la alternativa es que ambas medias son distintas. Para llevar a cabo este estudio, es necesario considerar la tabla 5 donde se han calculado la media y la desviación típica del consumo per cápita en cada provincia. Se indica además el número de municipios de cada provincia. Tal y como puede observarse a partir de los datos de dicha tabla, la provincia de Huelva es la que tiene mayor media con respecto al consumo per cápita y le sigue la provincia de Almería. Estos datos concuerdan con el hecho de que estas son las dos provincias que tienen más municipios que corresponden a datos atípicos y extremadamente atípicos.

Tabla 5. Media, desviación estándar y nº de municipios para la variable consumo per capita.

Provincia

Media consumo per cápita en MW

Desviación estándar

Nº de municipios

Almería

4247

5630,212853

101

Cádiz

3826

6673,34566

39

Córdoba

3539,70

2491,614728

62

Granada

3220,28

3283,674285

160

Huelva

8800,88

23130,78126

73

Jaén

3799,70

1877,389482

96

Málaga

2961,92

1406,609081

87

Sevilla

3526,15

3742,834703

102

Fuente: elaboración propia con Stata a partir de los datos de SIMA.

Para analizar más en profundidad las medias de consumo provinciales, se han estudiado si existen diferencias estadísticamente significativas (con un nivel de significación del 95%) entre las distintas parejas de provincias andaluzas. Los resultados obtenidos son que las únicas parejas entre las que existen tales diferencias son:

En las tablas 6 a 14, se recogen los resultados del estudio para dichas parejas de provincias. En la tabla 6 se puede observar como el p-valor en cuanto a diferencia positiva es 0,0320 < 0,05. Por tanto, se rechaza la hipótesis nula y existen diferencias significativas con respecto a la media provincial de consumo entre Almería y Granada. En las restantes tablas ocurre algo análogo. En todas ellas se encuentra un p-valor inferior a 0,05. Más concretamente, en las tablas 7 a 14 se obtienen los valores 0,0293; 0,0198; 0,0386; 0,0370; 0,0015; 0,0181; 0,0100 y 0,0004

Tabla 6. Test t para las provincias de Almería (x) - Granada (y).

Fuente: elaboración propia con Stata a partir de los datos de SIMA.

Tabla 7. Test t para las provincias de Almería (x) - Huelva (y).

Fuente: elaboración propia con Stata a partir de los datos de SIMA.

Tabla 8. Test t para las provincias de Almería (x) – Málaga (y).

Fuente: elaboración propia con Stata a partir de los datos de SIMA.

Tabla 9. Test t para las provincias de Córdoba (x) – Huelva (y).

Fuente: elaboración propia con Stata a partir de los datos de SIMA.

Tabla 10. Test t para las provincias de Córdoba (x) - Málaga (y).

Fuente: elaboración propia con Stata a partir de los datos de SIMA

Tabla 11. Test t para las provincias de Granada (x) – Huelva (y).

Fuente: elaboración propia con Stata a partir de los datos de SIMA.

Tabla 12. Test t para las provincias de Huelva (x) – Jaen (y).

Fuente: elaboración propia con Stata a partir de los datos de SIMA.

Tabla 13. Test t para las provincias de Huelva (x) – Málaga (y).

Fuente: elaboración propia con Stata a partir de los datos de SIMA.

Tabla 14. Test t para las provincias de Jaen (x) - Málaga (y).

Fuente: elaboración propia con Stata a partir de los datos de SIMA.

4.6. Test de normalidad

En este apartado se estudiará si nuestra variable objeto de estudio se ajusta a una distribución normal. Para ello se usarán los Test de Kolmogorov-Smirnof y de Shapiro-Wilk. Ambos se utilizan para contrastar si un conjunto de datos sigue una distribución normal o no y están basados en un contraste de hipótesis. Se muestran los resultados obtenidos con Stata en las tablas 15 y 16. Como se puede comprobar en ambos casos, el p-valor obtenido es 0. Por tanto, se puede afirmar que la variable consumo no sigue una distribución normal.

Tabla 15. Test de Kolmogorov-Smirnof en Stata.

Fuente: elaboración propia con Stata a partir de los datos de SIMA.

Tabla 16. Test de Shapiro Wilk.

Fuente: elaboración propia con Stata a partir de los datos de SIMA.

4.7. Análisis bivariantes

En este apartado se ha analizado la correlación entre la variable consumo eléctrico y las demás variables recogidas en la base de datos de SIMA (ver Anexo). El principal objetivo de este estudio es analizar si existen relaciones entre el consumo eléctrico y las demás variables recogidas en SIMA y así poder establecer un grado de dependencia o describir relaciones de causa efecto. De todas ellas, las únicas con las que se obtiene una correlación fuerte han sido: población total, contratos indefinidos, número de extranjeros, número de habitantes no asalariados y número de contratos temporales. Notemos que hay otras muchas variables de índole social o geográfica que no tienen consecuencias económicas y por tanto no guardan relación con el consumo de energía eléctrica. Las figuras 11 a 15 contienen los diagramas relativos a estos análisis bivariantes. Además, en la tabla 17 se muestra el coeficiente de correlación para cada pareja de variables. Se puede comprobar como dicho coeficiente es mayor que 0,5. De hecho, es mayor que 0,7 en todos los casos, así que se puede afirmar que existe una correlación lineal fuerte entre la variable consumo eléctrico y las demás variables enumeradas anteriormente.

Tabla 17. Coeficiente de correlación entre el consumo de energía eléctrica y otras variables.

Variable

Coeficiente de correlación

Población total

0,8862

Nº de Extranjeros

0,7138

Nº de contratos indefinidos

0,8759

Nº de contratos temporales

0,8765

Nº de no asalariados

0,8762

Fuente: elaboración propia con Stata a partir de los datos de SIMA.

Figura 11. Consumo de energía eléctrica y población total. Fuente: elaboración propia con Stata a partir de los datos de SIMA.

Figura 12. Consumo de energía eléctrica y nº de extranjeros. Fuente: elaboración propia con Stata a partir de los datos de SIMA.

Figura 13. Consumo de energía eléctrica y contratos indefinidos. Fuente: elaboración propia con Stata a partir de los datos de SIMA.

Figura 14. Consumo de energía eléctrica y nº de contratos temporales. Fuente: elaboración propia con Stata a partir de los datos de SIMA.

Figura 15. Consumo de energía eléctrica y nº de no asalariados. Fuente: elaboración propia con Stata a partir de los datos de SIMA

5. DISCUSIÓN

Se debe resaltar la gran oportunidad brindada por el Instituto de Estadística y Cartografía de la Junta de Andalucía al tener en su página web la plataforma del Sistema de Información Multiterritorial de Andalucía con una amplia recogida de datos de todos los municipios de Andalucía. Esto ha permitido llevar a cabo el estudio del consumo de energía eléctrica en esta comunidad autónoma. Otros autores también han puesto de relevancia la gran labor de este instituto (Egea & Luque, 2018). Además, se han desarrollado otros análisis estadísticos basados en la plataforma SIMA por ejemplo el de Cruces et al. (2009) y el de Pita y Pedregal (2011).

Más concretamente, en el Capítulo 2 de Pita y Pedregal (2011), se obtuvo la tabla 18, que refleja la distribución del consumo eléctrico según el tamaño poblacional de 2007.

Tabla 18. Consumo eléctrico según tamaño poblacional en 2007.

Tamaño municipal

Nº de municipios

Consumo total (MWh)

% sobre total Andalucía

Consumo/hab (MWh/hab)

≤ 2.000

246

743.072

1,99

3,34

2.001-10.000

262

5.833.336

15,60

4,53

10.001-20.000

68

4.167.584

11,15

4,41

20.001-50.000

47

7.599.141

20,32

6,21

50.001-100.000

17

5.953.565

15,92

5,29

100.001-500.000

9

7.632.923

20,41

4,98

≥ 500.001

2

5.459.689

14,60

4,30

Total Andalucía

651

37.389.310

100,00

4,95

Fuente: Pita & Pedregal (2011).

Acorde a los datos registrados y analizados en el presente artículo para el año 2020, se ha diseñado la tabla 19, que recoge los datos correspondientes para dicho año.

Tabla 19. Consumo eléctrico según tamaño poblacional en 2020.

Tamaño municipal

Nº de municipios

Consumo total (MWh)

% sobre total Andalucía

Consumo/hab (MWh/hab)

≤ 2.000

281

795.741

2,39

3,45

2.001-10.000

286

5.667.436

17,06

4,45

10.001-20.000

70

4.534.275

13,64

4,75

20.001-50.000

54

6.874.715

20,68

4,55

50.001-100.000

17

5.047.497

15,18

3,96

100.001-500.000

10

6.104.983

18,36

3,41

≥ 500.001

2

4.219.682

12,69

3,31

Total Andalucía

720

33.244.329

100,00

3,94

Fuente: elaboración propia con Stata a partir de los datos de SIMA.

Como se puede ver, tanto el consumo total como el consumo por habitante ha disminuido en el año 2020. Esto ha ocurrido a nivel global pues se ha pasado de 37.389.310 MWh y 4,95 MWh/hab en el año 2007 a 33.244.329 MWh y 3,94 MWh/hab en 2020. Añadir que esta disminución también se ha visto registrada en la mayoría de los intervalos de tamaño poblacional. Tan solo se ha registrado un aumento para los municipios de menos de 2.000 habitantes y aquellos que tienen entre 10.001 y 20.000 habitantes. En estos rangos poblacionales se encuentran varios municipios correspondientes a casos atípicos tal y como se vio en el apartado 4.4. Se enumeran a continuación estos municipios por provincia: Alhabia, Cuevas del Almanzora, Enix, Gérgal, Lucainena de las Torres, Purchena, Santa Fe de Mondújar, Tahal y Terque (Almería); Palenciana (Córdoba); Albuñán, Aldeire, La Calahorra, Fonelas, Lújar, Píñar (Granada); El Granado, Palos de la Frontera, San Silvestre de Guzmán, Sanlúcar del Guadiana (Huelva); Baeza, Cárcheles, Espeluy, Lupión (Jaén); Lora de Estepa (Sevilla).

Observando además ambas tablas también se puede apreciar como en el año 2007, los municipios de más de 50.000 habitantes concentraban más del 50% del consumo total andaluz, mientras que eso ya no pasa en 2020, pues supone un 46,23%. Esto significa que ha disminuido el peso del factor poblacional sobre el consumo total de energía eléctrica. Otra diferencia que pone esto de manifiesto es que durante el año 2007 el máximo de consumo eléctrico por habitante fue de 6,21 y se alcanza en el intervalo de 20.001-50.000 habitantes, mientras que en 2020 es de 4,75 y se alcanza en el rango de 10.001-20.000 habitantes.

A pesar de no haber encontrado en la literatura más trabajos en los que se realice un estudio estadístico similar al abordado en el presente artículo, hay investigaciones donde se plantean modelos que permiten una reducción del consumo de energía eléctrica (Jadraque et al., 2011 et al., 2021). También (Gutiérrez & Arévalo-Quijada, 2006), donde se analiza la influencia de la temperatura en la demanda de electricidad en los municipios andaluces.

6. CONCLUSIONES Y PERSPECTIVAS

En este artículo se ha analizado una base de datos para conocer cuáles son los datos de consumo medio por habitantes de cada uno de los municipios de Andalucía que tienen a Endesa Distribución Eléctrica como suministradora durante el año 2020. Con ello se ha pretendido dar una visión del consumo eléctrico en Andalucía durante dicho año. Los resultados obtenidos a nivel general permiten concluir que en Andalucía existen desequilibrios con respecto al consumo medio por habitante tanto a nivel municipal como provincial.

El análisis estadístico descriptivo reveló que el municipio que mayor consumo medio por habitante registra es El Granado (Huelva). Se trata de un municipio de tan solo 532 habitantes, una extensión bastante grande y cuenta con la central hidroeléctrica y embalse del Chanza. El hecho de que un municipio de Huelva sea el de mayor consumo por habitante concuerda con el estudio realizado sobre las medias provinciales donde se vio que la provincia de Huelva es la que tiene mayor media de consumo. Esta situación es común a otros municipios como Cantoria y Carboneras (Almería), Los Barrios y San Roque (Cádiz), Espiel (Córdoba), Zújar (Granada), Mengíbar (Jaen), Benahavís (Málaga) y Gerena (Sevilla). En todos ellos hay un escaso volumen poblacional y la presencia de polígonos industriales, centrales térmicas o minas.

En el estudio del consumo de energía eléctrica por sectores, se concluyó que en las provincias de Huelva y Cádiz el sector que más destaca es la Industria, mientras que en el resto de provincias destaca el sector residencial. Esto supone importantes diferencias entre las dos primeras provincias y las restantes y puede servir de guía para poder proponer medidas de ahorro en el consumo de energía eléctrica en dichos sectores.

Al analizar los consumos medios por habitante a nivel provincial, se dedujo que las provincias de Cádiz y Málaga son las que menos energía eléctrica consumen. De ahí que pudiera ser interesante imitar estrategias de ahorro energético ya implantadas en dichas provincias o bien tratar de equilibrar un poco los consumos provinciales con la migración de algunas industrias a otras provincias.

Con respecto a los datos atípicos, se ha concluido que Almería es la provincia que más datos registra, mientras que Málaga y Cádiz son las que menos tienen. Es de vital importancia controlar el consumo de los municipios correspondientes a datos atípicos, pues este tipo de datos influyen en el modelo de predicción que se utiliza para poder conjeturar o predecir valores futuros.

Los test de normalidad permitieron afirmar que los datos correspondientes a la variable consumo medio per cápita no se ajustan a una distribución normal. Esto no ocurre con muchas otras variables que, como bien es sabido, sí que se ajustan a este tipo de distribución (Akella et al., 2017).

Por otra parte, el análisis bivariante refleja como existen otras variables de la plataforma SIMA que están fuertemente correlacionadas linealmente con la variable consumo de energía eléctrica. Esto supone que podría establecerse un grado de dependencia o llegar incluso a describir relaciones de causa efecto entre dichas variables.

En el apartado 5, se llevó a cabo una breve discusión comparando nuestro estudio por el realizado en (Pita& Pedregal, 2011). De tal comparación, se deduce que se ha reducido el consumo de energía eléctrica desde el año 2007 al 2020, pero que esto no ha ocurrido en municipios con un rango poblacional inferior a 2.000 habitantes ni tampoco aquellos que tienen entre 10.000 y 20.000. Es por ello, que se debe tratar de reducir el consumo en tales municipios.

Como perspectiva de futuro, puede añadirse que queda pendiente un análisis similar sobre el consumo de energía eléctrica con Endesa por habitante con posterioridad al año 2020. Esto puede resultar de gran interés, pues durante la primavera del año 2020 atravesamos una fase de confinamiento derivado de la pandemia de COVID-19. Desde entonces ha habido numerosos cambios a nivel social, empresarial y económico que pueden influir en los datos. Por ejemplo, el cierre de negocios, el aumento del teletrabajo y la necesidad de mantener una mayor limpieza y desinfección. Es nuestra intención realizar una comparativa posteriormente con los datos esperados y los reales que aparezcan recogidos en SIMA. También podría ser de interés analizar otras variables de consumo medio por habitante como puede ser el agua o el gas y estudiar si existe correlación entre éstas y el consumo de energía eléctrica.

Se espera que el análisis estadístico llevado a cabo en el presente artículo sea de utilidad para avanzar en la reducción del consumo eléctrico. Es necesaria la implantación de campañas de concienciación ciudadana, trabajar en medidas de ahorro y eficiencia y es de vital importancia realizar una transición hacia el autoconsumo residencial, pues de esta forma se conseguiría una menor dependencia de la energía proveniente de la red eléctrica. Esto a su vez supondría un ahorro económico y un consumo más eficiente y solidario con el medioambiente.

Agradecimientos

Los autores expresan su agradecimiento a los organismos oficiales gracias a los que podemos hacer uso de los datos oficiales de la plataforma SIMA, imprescindible para la realización de este trabajo. Asimismo, desean reconocer la labor de la revisión anónima y equipo editorial, que ha aportado valiosas recomendaciones y sugerencias para la mejora del trabajo.

Declaración Responsable y conflicto de intereses

Los autores declaran que no existe ningún conflicto de interés con relación a la publicación de este artículo. Los autores, han participado en la revisión bibliográfica, diseño metodológico, realización de análisis, redacción y revisión del artículo

REFERENCIAS

Agencia andaluza de la Energía (2020). Datos Energéticos de Andalucía. https://www.agenciaandaluzadelaenergia.es/sites/default/files/Documentos/Planificaci%C3%B3n/datos_energeticos_2020.pdf

Agencia andaluza de la Energía (2022). Estrategia Energética de Andalucía 2030. https://www.agenciaandaluzadelaenergia.es/es/transicion-energetica/estrategia-energetica-de-andalucia-2030

Akella, S., Diaz, P., & Baluguri, S. (2017). Exam Results Fit to a Normal Distribution. DJ Journal of Engineering and Applied Mathematics (4), 20-28. https://doi.org/10.18831/djmaths.org/2018011002

Álvaro, C.F., Daniel, D., & Espinosa, I. (2013) El Instituto de Estadística y Cartografía de Andalucía. In XIV Congreso de Enseñanza y Aprendizaje de las Matemáticas.

Bueno, J., Romero-Jordán, D., & Río, P. (2020). Analysing the Drivers of Electricity Demand in Spain after the Economic Crisis. Energies (13). https://doi.org/10.3390/en13205336

Coq, D. (2003). Distribución espacial y modelización econométrica del consumo energético. El caso de Andalucía. In XVII Congreso de la ASEPELT, Almería.

Cruces Pastor, E.M., de Haro García, J., & Sarrión Gavilán, M.D. (2009). Análisis estadístico de la realidad socioeconómica en Andalucía. Una aproximación a escala municipal. Investigaciones regionales (18), 107-138.

Egea Ruiz, R., & Luque Calvo, P.L. (2018). Instituto de Estadística y Cartografía de Andalucía (IECA): fuentes de datos. [Trabajo fin de Grado, Universidad de Sevilla]. Universidad de Sevilla. https://idus.us.es/handle/11441/77593

E.R. (2021). Endesa atiende al 94% de los clientes y el 96% del consumo en Andalucía. Revista de Energías Renovables. Sección Panorama, Centro de evaluación y seguimiento energético de Andalucía. https://www.energias-renovables.com/panorama/endesa-atiende-al-94-de-los-clientes-20210216

Empresa Provincial de Energía de Córdoba (2022). Proyecto1. https://www.epec.com.ar

Fundación Disenso (2021). El verdadero problema Energético de España. https://fundaciondisenso.org/2022/01/04/el-verdadero-problema-energetico-de-espana/

González, J., & Álvarez-Alonso, C. (2020). Industrial electricity prices in Spain: A discussion in the context of the European internal energy market. Energy Policy. https://doi.org/10.1016/j.enpol.2020.111930

Gutiérrez, E., & Arévalo-Quijada, M. (2006). Análisis de la influencia de la temperatura en la demanda residencial de energía eléctrica en Andalucía. Revista de Estudios Andaluces (26), 93-122. https://doi.org/10.12795/rea.2006.i26.04

Hilbert, M., & López, P. (2011). The World’s Technological Capacity to Store, Communicate, and Compute Information. Science (332), 60-65. https://doi.org/10.1126/science.1200970

Iberdrola (2022). El hidrogeno verde: una alternativa para reducir las emisiones y cuidar nuestro planeta. https://www.iberdrola.com/sostenibilidad/hidrogeno-verde

Instituto Nacional de Estadística (INE) (2021). https://www.ine.es/jaxiT3/Tabla.htm?t=2915

Jadraque Gago, E., García, J., & Estrella, A. (2011). Development of an energy model for the residential sector: Electricity consumption in Andalusia, Spain. Energy and Buildings 43(6), 1315-1321. https://doi.org/10.1016/j.enbuild.2011.01.016

Pita López, M.F., & Orozco Frutos, G. (2012). La dimensión territorial del consumo eléctrico en Andalucía a escalas detalladas. Nimbus: Revista de climatología, 29-30.

Pita López, M.F., & Pedregal Mateos, B. (2011). Tercer Informe de Desarrollo Territorial de Andalucía. Secretariado de Publicaciones de la Universidad de Sevilla. https://www.upo.es/giest/tercer-informe-de-desarrollo-territorial/

Román-Collado, R., & Carmona, M. (2021). Energy efficiency’s key role in explaining the performance of energy consumption in Andalusia (Spain). Environmental Science and Pollution Research (28), 1-21. https://doi.org/10.1007/s11356-020-11829-2

Sistema de Información Multiterritorial de Andalucía (SIMA) (2021). https://www.juntadeandalucia.es/institutodeestadisticaycartografia/badea/informe/anual?CodOper=b3_151&idNode=23204

Universidad Loyola (2021). GUIA DE STATA.

ANEXO